
[세종타임즈] 해양수산부는 해양미세조류인 스피룰리나에서 기존 추출물 보다 인지기능 개선 효능이 최대 50% 이상 증가한 해양바이오 소재 개발을 완료하고 ㈜네추럴웨이에 관련 기술을 이전했다고 밝혔다.
한국해양과학기술원은 스피룰리나에서 뇌의 신경세포 보호 활성 효능을 보이는 “SM70EE”를 추출하고 전임상 연구를 통해 치매 관여 물질인 베타아밀로이드가 축적된 인지 장애 쥐와 정상 쥐의 비교실험을 진행한 결과, SM70EE를 투여한 인지 장애 쥐의 인지기능이 약 40~90% 개선되는 것을 확인했다.
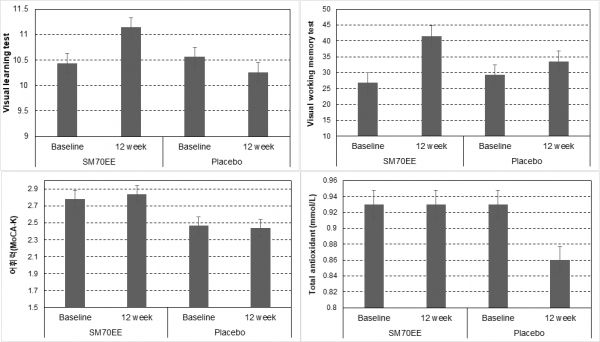
또한, 70대 이상 인지기능 저하 환자 180명을 대상으로 2차례에 걸쳐 SM70EE의 효능을 분석한 결과, SM70EE를 3개월 이상 지속적으로 섭취한 환자의 경우 미섭취 환자에 비해 시각기억, 시지각작업기억, 어휘력 등이 30~50% 이상 뚜렷하게 개선됐다을 확인했다.
이와 같은 연구개발 성과를 바탕으로 한국해양과학기술원은 건강기능식품 생산업체인 ㈜네추럴웨이에 인지능력 개선 기능성을 가진 스피룰리나 추출물 제조방법에 관한 기술이전을 약 1.7억원 규모에 체결했다.
해양수산부는 이번 기술이전에 따라 스피룰리나 추출물을 활용한 인지기능 개선 관련 제품출시가 기대되며 노화에 따른 인지능력 등 경도인지장애에 도움이 될 것으로 예상하고 있다.
정재관 해양수산부 해양수산생명자원과장은 “이번 연구를 통해 해양미세조류의 치매개선 효능을 확인하고 국민 건강증진에 기여할 수 있는 기회를 확대했다”며 “앞으로도 해양생명자원을 활용한 바이오 제품이 다양하게 개발되고 조속히 상용화될 수 있도록 적극적으로 지원하겠다”고 말했다.
스피룰리나는 면역·항산화, 항염증 활성 기능을 가진 건강기능성 식품 원료로 널리 활용되고 있으며 현재 식품의약품안전처의 스피룰리나 추출물에 대한 개별인정원료 평가 절차가 진행 중이다.
저작권자 © 세종타임즈 무단전재 및 재배포 금지









